| 多元动力荷载联合作用下的海上风机单桩基础冲刷机理 开展了水流和水平循环荷载共同作用下的海上风机单桩基础冲刷物理模型试验,发现以往所忽略的桩顶水平循环振动会引发桩基周围土体沉降和对流现象,使得初始阶段冲刷率增大9~30%、最大冲刷平衡深度降低5-13%、冲刷坑边坡倾角减小8~13°。
图3.3.1 试验装置示意图(左)与现场照片(右)
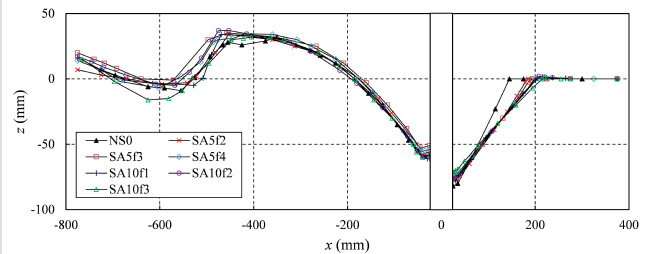
图3.3.2 各种工况下中心剖面最终冲刷坑形态
图3.3.3 水平循环荷载作用下的冲刷机理示意图 提出了同时考虑水动力和水平循环荷载的单桩基础冲刷深度预测新公式,解决了复杂海况中结构强振动条件下的传统冲刷公式计算误差大的问题。
图3.3.4 水平循环荷载作用下单桩基础水流冲刷预测公式与计算结果 |





